[프로그래머스] Lv. 4 가사 검색(Java)
by rowing0328https://school.programmers.co.kr/learn/courses/30/lessons/60060
코딩테스트 연습 - 가사 검색
[본 문제는 정확성과 효율성 테스트 각각 점수가 있는 문제입니다.] 친구들로부터 천재 프로그래머로 불리는 "프로도"는 음악을 하는 친구로부터 자신이 좋아하는 노래 가사에 사용된 단어들 중
school.programmers.co.kr

정답 코드
class Solution {
class Trie {
Trie[] child = new Trie[26];
int count;
void insert(String str) {
Trie curr = this;
for (char ch : str.toCharArray()) {
curr.count++;
int idx = ch - 'a';
if (curr.child[idx] == null) {
curr.child[idx] = new Trie();
}
curr = curr.child[idx];
}
curr.count++;
}
int search(String str) {
Trie curr = this;
for (char ch : str.toCharArray()) {
if (ch == '?') {
return curr.count;
}
curr = curr.child[ch - 'a'];
if (curr == null) {
return 0;
}
}
return curr.count;
}
}
Trie[] TrieRoot = new Trie[10000];
Trie[] ReTrieRoot = new Trie[10000];
public int[] solution(String[] words, String[] queries) {
int[] answer = new int[queries.length];
int ansIdx = 0;
for (String str : words) {
int idx = str.length() - 1;
if (TrieRoot[idx] == null) {
TrieRoot[idx] = new Trie();
ReTrieRoot[idx] = new Trie();
}
TrieRoot[idx].insert(str);
str = new StringBuilder(str).reverse().toString();
ReTrieRoot[idx].insert(str);
}
for (String str : queries) {
int idx = str.length() - 1;
if (TrieRoot[idx] == null) {
answer[ansIdx++] = 0;
continue;
}
if(str.charAt(0) != '?') {
answer[ansIdx++] = TrieRoot[idx].search(str);
} else {
str = new StringBuilder(str).reverse().toString();
answer[ansIdx++] = ReTrieRoot[idx].search(str);
}
}
return answer;
}
}
실행 결과

설명

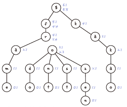
트라이
문자열을 저장하고 효율적으로 탐색하기 위한 트리 형태의 자료구조이다.
우리가 검색할 때 볼 수 있는 자동완성 기능, 사전 검색 등 문자열을 탐색하는데 특화되어있는 자료구조이다.
위 문제는 접두사와 접미사 탐색이 주요 과제였기에, 문자열을 효율적으로 관리할 수 있는 자료구조로 트라이를 선택했다.
트라이는 문자열의 공통 부분을 효율적으로 처리할 수 있어, 탐색 비용을 줄이는 데 유리하다.
문제에서 제시한 와일드 카드를 활용해 트라이 탐색을 조기에 종료함으로써 불필요한 연산을 줄이고 성능을 최적화했다.
참고 자료 :
취업과 이직을 위한 프로그래머스 코딩 테스트 문제 풀이 전략 : 자바 편 | 김현이
프로그래머스 코딩 테스트 문제 풀이 전략: 자바 편 | 김현이 - 교보문고
프로그래머스 코딩 테스트 문제 풀이 전략: 자바 편 | 핵심 개념, 프로그래머스에서 선별한 79개 문제 풀이, PCCP 대비까지! 합격에 한 걸음 더 가까워지는 실전형 코딩 테스트 문제 풀이 가이드개
product.kyobobook.co.kr
'🏅Algorithm > Programmers' 카테고리의 다른 글
| [프로그래머스] Lv. 1 자연수 뒤집어 배열로 만들기(Java) (0) | 2025.01.13 |
|---|---|
| [프로그래머스] Lv. 2 삼각 달팽이(Java) (2) | 2024.12.28 |
| [프로그래머스] Lv. 4 호텔 방 배정(Kotlin) (0) | 2024.12.27 |
| [프로그래머스] Lv. 2 교점에 별 만들기(Java) (0) | 2024.12.26 |
| [프로그래머스] Lv. 2 신규 아이디 추천(Kotlin) (2) | 2024.12.12 |
블로그의 정보
코드의 여백
rowing0328